根据《教育部关于普通高中学业水平考试的实施意见》(教基二〔2014〕10号)和《四川省人民政府关于印发〈四川省深化普通高等学校考试招生综合改革实施方案〉的通知》(川府规〔2022〕4号)精神,制定本办法。
一、等级赋分适用科目
等级赋分办法适用于我省普通高中学业水平考试的思想政治、地理、化学和生物4门选择性考试科目。我省自2022年秋季入学的普通高中一年级学生开始,普通高中学业水平考试思想政治等4门选择性考试科目实施等级赋分。学生根据普通高等学校招生专业选考科目要求,结合自身兴趣特长,在4门科目中选择2门作为选择性考试科目,即:在思想政治、地理、化学、生物4门学科中选2门参加考试,每科满分100分,以等级分计入高考总成绩。
二、等级赋分具体办法
(一)划分等级,将卷面分转换为等级。将每门选择性考试科目的考生群体依据卷面分从高到低进行排序,以一定的人数比例将该选考科目考生群体划分为若干个等级,每个考生按照其卷面分在该选考科目考生群体中的排序,对应到某个等级,从而将所有考生的卷面分转换成等级。
按照考生群体卷面分的统计分布所确定的人数比例(见等级分换算对应表)将该选考科目考生群体划分为5个群体,每个群体考生赋予1个等级,整个考生群体的卷面分被转换为从高到低A、B、C、D、E共5个等级,每个考生的等级由其在该选考科目群体的排位确定。
(二)进行等级赋分,将等级转换为等级分。设定等级分起点分、满分的分值,对各个等级进行连续赋分,在每个等级内按1分1档赋予每个等级一定的等级分数区间。根据每个考生的卷面分数及所在等级的等级分赋分区间,运用等比例转换法则将其卷面分换算成等级分。同一科目等级相同的考生,如果卷面分较高,其对应的等级分也较高。
等级分的满分值为100分、起赋分值为30分,从A至E每个等级按照1分1档的分数间隔对各个等级进行连续赋分(见等级分换算对应表)。依此,把每个选考科目考生群体的等级成绩从高到低(从A到E)转换为100至30分的等级分数,每个等级分数都在一定的等级分区间内。在A、B、C、D、E的每个等级内卷面分不同的考生,根据等比例转换法则可计算得出不同的等级分,从而确保卷面分较高的考生换算得到较高的等级分。
1.等级换算对应关系。各等级及其所占人数比例、等级分赋分区间对应关系如表所示。
等级分换算对应表

2.等级分换算公式。根据等比例转换法则计算每个考生等级分的公式为:

其中,Y1、Y2分别表示某个等级所对应卷面分区间的下限和上限;T1、T2分别表示相应等级的等级分赋分区间的下限和上限;Y表示相应等级内某考生的卷面分;T表示相应等级内某考生的等级转换分;当Y=Y1时,T=T1。
根据公式,可以算出每个考生的等级分。公式表明,考生的卷面分和等级分是线性相关的。在考生卷面分转换成等级和等级分的过程中,考生在相应选考科目考生群体中的成绩排序不会发生变化。
三、等级分使用
选择性考试成绩当年有效,其等级分计入考生高考总成绩,作为高校招生录取的依据。
四川新高考等级赋分如何赋?具体算法如何?我们一起来看一看:
一、涉及到“等级转换赋分”的科目,是政治、地理、化学、生物4门
二、

三、等级分换算公式。根据等比例转换法则计算每个考生等级分的公式为:

其中,Y1、Y2分别表示某个等级所对应卷面分区间的下限和上限;T1、T2分别表示相应等级的等级分赋分区间的下限和上限;Y表示相应等级内某考生的卷面分;T表示相应等级内某考生的等级转换分;当Y=Y1时,T=T1。
赋分时,分两步进行:
第一步,按照考生原始分从高到低划定A、B、C、D、E共五个等级。
第二步,将A至E五个等级内的考生原始分,依照等比例转换法则,分别对应转换到100~86、85~71、70~56、55~41和40~30五个分数段,从而将考生的等级转换成了等级分。
下面用具体案例说明。
案例1
某学科原始分前15%的考生最高分为100分,最低分为95分,则该学科A等级的原始分区间为【100~95】。
已知A等级赋分区间为【100~86】分(固定不变),
也就是说,原始分【100~95】的考生为A等级,赋分后最终成绩为【100~86】分。
案例2
某学科考试成绩最后2%的考生最高分为20分,最低分为5分,则该科目E等级的原始分区间为【20~5】。
已知E等级赋分区间为【40~30】分(固定不变),
也就是说,原始分【20~5】的考生为E等级,赋分后最终成绩为【40~30】分。
极端地讲,假设这个区间某考生原始分为5分,赋分后也能拿到30分。
案例3
假设小金同学地理学科原始分为96分,再假设地理学科A等级原始分区间为【100~95】,则小金同学地理学科为A等级;
下面进行赋分换算:
A等级的赋分区间【100~86】(固定不变),
那么小明同学赋分后分数为:

解得,T=88.8;四舍五入后小金同学地理学科最终赋分成绩为89分。
案例4
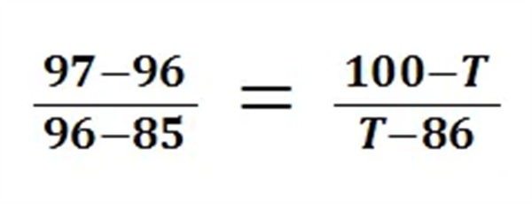
假设小欣同学地理学科原始分为96分,再假设地理学科A等级原始分区间为【97~85】,则小欣同学地理学科为A等级;
下面进行赋分换算:
A等级的赋分区间【100~86】(固定不变),
那么小欣同学赋分后分数为:

解得,T≈98.83;四舍五入后小欣同学地理学科最终赋分成绩为99分。
案例5
假设小明同学政治学科原始分为75分,再假设政治学科B等级原始分区间为【82~61】,则小明同学政治学科为B等级;
下面进行赋分换算:
B等级的赋分区间【85~71】(固定不变),
那么小明同学赋分后分数为:

解得,T≈80.33;四舍五入后小明同学政治学科最终赋分成绩为80分。

案例6
假设小宇同学地理学科原始分为88分,再假设地理学科B等级原始分区间为【88~75】,则小宇同学地理学科为B等级;
下面进行赋分换算:
B等级的赋分区间【85~71】(固定不变),小宇同学考了B等级原始分区间的最高分,所以小宇同学地理学科最终赋分成绩为85。
案例7
假设小林同学地理学科原始分为75分,再假设地理学科B等级原始分区间为【88~75】,则小林同学地理学科为B等级;
下面进行赋分换算:
B等级的赋分区间【85~71】(固定不变),小林同学考了B等级原始分区间的最低分,所以小林同学地理学科最终赋分成绩为71。
关于赋分制的其他问题
1、为什么要采取等级赋分制?
等级赋分能够较好解决学科之间分数不等值、学生选考科目分数不能直接相加参加高校招生录取的问题。如果以原始分呈现考试成绩,会带来学科间不公平问题;等级呈现方式则使得不同学科考生因等级划分而保持了成绩相对均衡,学科间试题难易差异等不公平因素可以被较好消除,使得不同科目之间成绩可以相加。
2、高考选考科目可以知道卷面的原始分数吗?
高考公布的分数为赋分之后的分数。
3、赋分和选考人数有关吗?选考人数越多越容易被赋分?
考虑赋分因素要重点注意以下几类情况:
学霸选考越集中,成为炮灰的可能性越大;
试题难易程度:试题难度越高,学霸区的炮灰就会越多。
试题越难,学霸越容易和其他人拉开差距,考上名校。
赋分模式下,选择人数越多,赋分结果就越趋于合理,选择人数越少,偶然性就会越大。
总而言之,赋分制度下不仅要求考生考虑自身的成绩,还要考虑本省其他竞争者的成绩。
4、赋分制下,如果某一门选考人数特别少怎么办?
这一现象在首批试点的浙江省有出现,采取的措施为设置最低保障基数,当选考人数少于“基数”时,则按照基数人数进行赋分。
5、新高考改革下,考生交白卷也有60分的成绩?
新高考改革采取赋分制,最高100分,最低30分,如果考生交白卷,实际卷面成绩0分,选科目成绩被排到E等级。
那么在等级赋分后,任选科目每科最少也有30分会被计入总成绩,两门任选科目即60分。
6、新高考改革,选择纯文组合,除了专业选择受限,赋分会吃亏吗?
纯文组合的专业覆盖率偏低,但是赋分的高低主要跟排名有关系,考生如果文科排名很靠前,也有被赋予高分的可能。
7、新高考有赋分,大学录取的分数线会提高很多吗?
不一定,决定大学录取分数线的因素是考生的投档人数,招生计划等因素,,新高考中虽然实行了赋分,但是是所有学生都参与赋分,形成的高考总成绩是不影响录取分数线的。
8、考生考多少分才能被赋满分?
新高考改革选择等级赋分制,赋分主要看排名,考生排名在前1%,基本上都可以被赋予满分。
9、新高考实施赋分制,赋分制的合理之处体现在哪?
一是解决了选考科目之间分数不可比的问题;
二是能够最大限度地保证考生的成绩具有良好的区分度,满足高校人才选拔的需求。
10、历史类考985 211的分数,会比物理类的高吗?
不一定,具体的要看每个学校的专业实力,投档人数,招生计划等因素。
11、影响考生赋分成绩高低的因素有哪些?
影响考生赋分成绩的因素包括学生排名、选考学生层次、学科及试卷的难易程度、选考人数等。
12、新高考后很多文科生考高分?
以往文科因此题目较主观的原因,很难得高分或满分,但赋分之后,将成绩分布在各个区间,成绩整体比以前高。
13、选择冷门学科,在赋分上是不是更占优势?
赋分的高低主要受考生排名的影响,选考人数越多,赋分结果就越趋于合理,选择人数越少,偶然性就会越大,冷门学科选考的人数可能较少,但是能不能被赋予高分还是看考生的实际排名,是否有优势无法准确衡量。